https://hkim-data.tistory.com/187
힙 자료구조
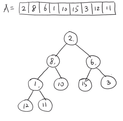
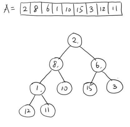
힙 자료구조 전에 트리 자료구조의 표현법에 대해 좀 더 알아보자. 위와 같은 표현법을 사용하면 인덱스가 정해지게 된다. 즉. 왼쪽, 오른쪽 자식노드와 부모노드를 상수시간안에 접근 가능하다
hkim-data.tistory.com
이전 포스팅에 이어서 make heap 연산에 대해 알아보자

힙 성질을 만족하기 위해, heapify - down을 계속해서 진행하면 된다.
리스트의 맨 오른쪽 인덱스부터 A[0]까지 계속해서 반복
1. 리프노드면 내버려둠
2. 자식 노드가 있을 때 나보다 클 때 A [2*k+1]과 A [2*k+2] 값 중 큰 것이랑 변경
3. 변경 후 리프 노드가 아니면 또 아래랑 비교해줘야 함
def make_heap(A):
# O(n * t) -> 리스트 길이 n 만큼 heapify_down의 수행시간 t 반복
n = len(A)
for k in range(n-1, -1, -1):
# A[k] -> heap 성질 만족하는 곳으로
heapify_down(k,n)
def heapify_down(k,n):
# 최악의 경우 가장 작은 값이 루트에 있을 경우임 이는 높이만큼 반복하게 됨
# while 내부의 코드는 모두 상수시간임
# 즉 O(nh) -> h는 2^h-1 < h <= logn 즉 O(nlogn)이지만 리프노드는 연산을 하지 않아도 되기 때문에 실제로는 O(n)임
# A[k], n 값
while A[k] != leafnode:
L, R = 2*k+1, 2*k+2
m = max(A[k], A[L], A[R])
if k != m : # 변경 될 때
# 변경 코드 A[k] <-> A[m]
A[k], A[m] = A[m], A[k]
k = m
else:
break
h 개념

'Computer Science > Data Structure' 카테고리의 다른 글
| 이진트리 - 정의와 순회 (0) | 2022.01.01 |
|---|---|
| 힙 자료구조 - insert 연산 (0) | 2022.01.01 |
| 힙 자료구조 (0) | 2021.12.31 |
| 트리 자료구조 (용어 설명 및 표현법) (0) | 2021.12.31 |
| 해시 테이블 - collision resolution method (0) | 2021.12.31 |
댓글